Nubian Completes Successful Drill Program at Yandoit Gold Project, Victoria, Australia
Toronto, Ontario, March 22, 2022 – Nubian Resources Ltd. (TSX-V: NBR | OTCQB: NBRFF) (“Nubian” or the “Company”) is pleased to announce results further drill results on its maiden drill program and on the surface geochemistry sampling completed at the Company’s Yandoit Gold Project in the Central Victorian Goldfields, Australia. A total of 1,164 metres of reverse circulation (“RC”) and 743.3 metres of diamond core was completed during 2021, focused on the Goldsmith and Golconda lines of lode in the northeast of the project area. Other areas along and across trend were also tested by 2,711 reconnaissance soil samples, identifying dozens of new prospect areas.
Highlights:
• 1.1m @ 2.3 g/t Au from 87.0m in GDD005 including 0.5m @ 3.97 g/t Au from 87.0m;
• 0.2m @ 2.04 g/t from 90.4m in GDD005;
• 2.9m @ 0.55 g/t Au from 17.4m in GDD006;
• GDD001 at Golconda returned 7.2m @ 0.95 g/t, including 2m @1.9 g/t Au from 198.2m and 1.1m @ 2.99 g/t;
• Surface rock assays returning up to 7.45 g/t Au; and
• Completion of 2,711 soil samples identifying numerous prospective areas.
Martin Walter, President and CEO stated, “These new results, combined with the previously reported 52.4 g/t intercept in hole YRC008 confirm the success of Nubian’s first drilling program in Victoria, Australia. The drill program encountered gold in more than half the holes, and has helped us to formulate a strategy for future discovery at Yandoit. With 10’s of km of additional quartz reefs to follow up, we are now building our knowledge and refining targets at Sardinia. With gold achieving record prices exceeding US$2,000 an ounce, we are excited to be exploring one of the World’s premier gold districts close to Agnico Eagle’s Fosterville mine.”
The Yandoit Gold Project is characterized by the presence of multiple north-south striking quartz vein systems, each spaced approximately 50 metres apart, marked by quartz float and abundant historic workings. The Company believes that less than 5% of the prospective strike length of quartz vein has been drill tested at Yandoit. Alluvial goldfields drain the areas of quartz reef, and were the source of production during the 19th century.
The completed program focused on the northern extension of the Goldsmith and Golconda mines which were in production until approximately 1908, and were known for rich structurally controlled shoots of free gold.
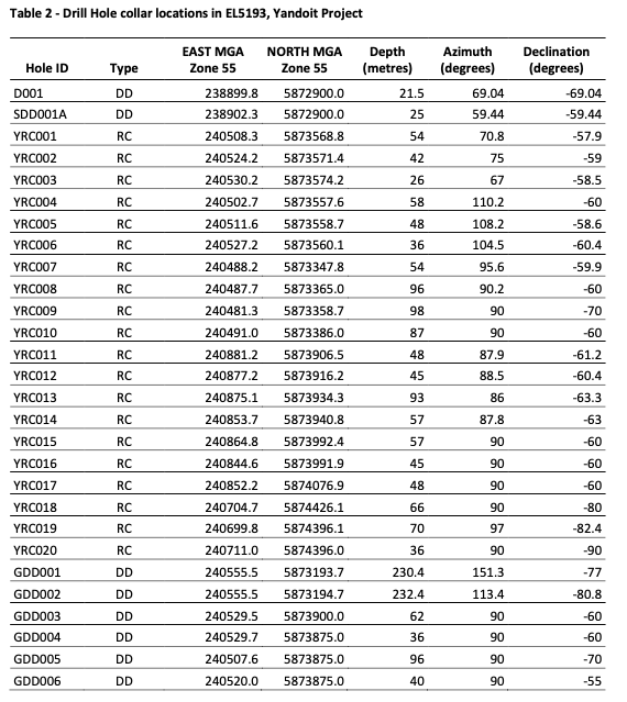
Highlights from the drill holes disclosed in this release (GDD003 – GDD006) include 0.5m @3.97 g/t Au from 87.0m and 0.2m @ 2.04 g/t from 90.4m in GDD005. True thickness is interpreted to be greater than 60% of drilled thickness. Results and drill collar locations from the full program are provided in Tables 1 and 2 below.
2021 drilling and surface sampling results from Yandoit have highlighted the widespread presence of prospective quartz reef with laminated textures and sulphide content that provide encouragement for gold mineralization.
Bonanza grade gold occurs in the Goldsmith trend (Figure 2) up to 2m @ 52.4 g/t gold from 28m in hole YRC008 (previously reported in news release dated October 6, 2021) indicates the potential for rich shoots similar to that which supported decades of historic production. Furthermore, Nubian sampling during 2021 identified gold at surface within sulphide minerals that may not have been recovered by historic miners.


Nubian has identified multiple drill targets on EL6274 in the west of the project area. The Sardinia line of lode lies 1.6 km’s to the west (Figure 5) of previous drilling where soil sampling and ground penetrating radar has already been completed. Surface rock geochemistry by the previous tenement holder here returned up to 0.61 g/t Au and 2,041 ppm arsenic. Permitting for a drilling program is now in progress.


The completed pXRF soil campaigns have identified dozens of potentially gold bearing locations. Final batches of soil identified as containing elevated arsenic have been screened and are in process of being delivered at the Genalysis Intertek assay laboratory to confirm arsenic anomalism and detect the value of gold. Interestingly, pXRF analysis of soil returned occasional silver which may contribute as a diagnostic in targeting and defining these newer prospect areas.
A final reconciliation of these soil results will be made once the results from the laboratory are completed.


QUALIFIED PERSON
The technical information contained in this news release relating to the Yandoit Gold Project has been approved by Mark Saxon, an advisor to Nubian, who is a “qualified person” within the meaning of National Instrument 43-101, Standards of Disclosure for Mineral Projects. Mark Saxon is an Honours BSc graduate in Geology from the University of Melbourne, a Fellow of the Australasian Institute of Mining and Metallurgy, and a Member of the Australian Institute of Geoscientists.
TECHNICAL NOTES
RC and diamond drilling was completed by Indicator Drilling Pty Ltd with a hole diameter of 95mm. Approximately 2kg of sample was bagged on site and sent for assay per 2m of drilling. Wet conditions necessitated spear sampling of bags. Drill core was cut by Nubian contractors in a secure facility, and hand delivered to analytical laboratory. Alternating duplicates and certified reference materials were inserted as per industry standard. Assays were completed by Intertek Genalysis in Adelaide using Fire Assay Digest and Mass Spectroscopy analytical method.
ABOUT NUBIAN
Nubian Resources Ltd. is a publicly traded precious and base metals exploration company listed on the TSX Venture Exchange. The Company is managed by a team of experienced mining and geological professionals. Nubian’s projects are focused in key mining jurisdictions in central Victoria and Tasmania, Australia and Peru.
For further information, please contact:
Martin Walter, Chief Executive Officer, Nubian Resources Ltd., at +1-416-389-5692 or [email protected]
Neither the TSX Venture Exchange nor its Regulation Services Provider (as that term is defined in the policies of the TSX Venture Exchange) accepts responsibility for the adequacy or accuracy of this release.
Caution Regarding Forward Looking Statements
Certain statements contained in this press release constitute forward-looking information. These statements relate to future events or future performance. The use of any of the words “could”, “intend”, “expect”, “believe”, “will”, “projected”, “estimated” and similar expressions and statements relating to matters that are not historical facts are intended to identify forward-looking information and are based on Nubian’s current belief or assumptions as to the outcome and timing of such future events. Actual future results may differ materially. Although such statements are based on reasonable assumptions of Nubian’s management, there can be no assurance that any conclusions or forecasts will prove to be accurate.
Forward looking information involves known and unknown risks, uncertainties and other factors which may cause the actual results, performance or achievements to be materially different from any future results, performance or achievements expressed or implied by the forward-looking information. Such factors include risks inherent in the exploration and development of mineral deposits, including risks relating to changes in parameters of the Projects as plans continue to be redefined, risks relating to variations in grade or recovery rates, risks relating to changes in mineral prices and the worldwide demand for and supply of minerals, risks related to the COVID-19 pandemic and current global financial conditions, increased competition, access and supply risks, reliance on key personnel, operational risks, regulatory risks, including risks relating to licenses and permits, financing, capitalization and liquidity risks and title and environmental risks.
The forward-looking information contained in this release is made as of the date hereof, and Nubian is not obligated to update or revise any forward-looking information, whether as a result of new information, future events or otherwise, except as required by applicable securities laws.
Because of the risks, uncertainties and assumptions contained herein, investors should not place undue reliance on forward-looking information. The foregoing statements expressly qualify any forward-looking information contained herein.
RECENT PRESS RELEASES
CARLTON PRECIOUS PROVIDES ESQUILACHE PROJECT UPDATE
CARLTON ANNOUNCES OTC SYMBOL CHANGE TO CPIFF
CARLTON GRANTS OPTIONS
- Read All Press Releases